A költségvetés módosítása és a terelőút tervezett nyomvonalai is szerepeltek a mai ülés napirendjén
Több fontos témában volt szükség az önkormányzati testület döntésére, ezért Szakács-Paál István polgármester soron kívüli testületi ülésre hívta a képviselőket.

Elsőként a város költségvetésének módosítása került napirendre. A működési költségekből kellett több városházi osztály, igazgatóság úgy lemondjon összegekről, hogy a tevékenység ne csorbuljon, és a fejlesztési és beruházási igazgatóság projektjei tovább tudjanak menni.

Összesen 3.140.000 lejt kellett átcsoportosítani, amelyből 2.940.000 lejt beruházásokra, 200.000 lejt pedig a kulturális központ elmarad számláinak kifizetésére hagyott jóvá testület.
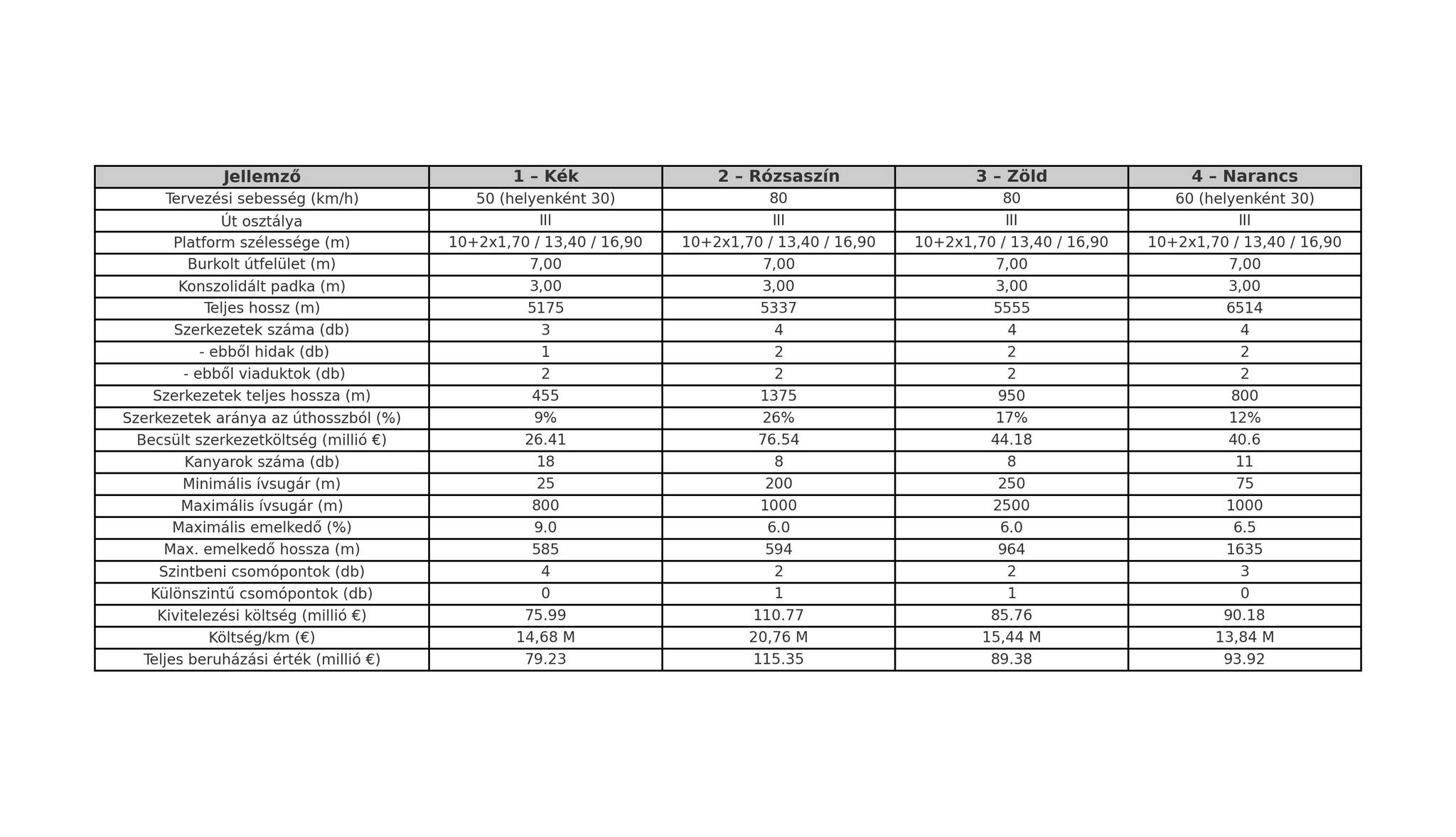
Következett az idén megkötött kivitelezési szerződés révén elkészült terelőutas nyomvonalat tárgyalása. A kolozsvári tervezőcég képviselője online kapcsolódott be az ülésbe, és részletesen bemutatta a négy nyomvonal paramétereit, gazdasági és technikai jellemzőit.

A négy nyomvonal közül a testület a hármas, zöld és a négyes, narancssárga nyomvonalat választotta ki a részletesebb kidolgozású, kettes szintű, multikritériumos elemzésre.

A nyomvonalak paraméterei:

Az ülés harmadik napirendi pontjának elfogadásával a testület a Tulipán utcában a villamossági vállalat számára engedélyezi a rájárást a közterületre. Következett a Magnólia utcában illetve a Széldombon egy-egy kataszteri dokumentáció elfogadása.